Abuelita se masturba bajo las sábanas

Cuatro fondo de pantalla en el teléfono

Trio de peelicula

Piano de anime

Anime tyanki dance meme


Silueta gruesa y delgada

Movilidad de esperma

Yao yao genshin impacto

Métrica para el bordado de la niña con un circuito cruzado

Juegos de beso de Eva

Abuelita se masturba bajo las sábanas


Dibujos de contorno para bordado

Xy = 2 x 2y = 3 sistema

El compurador de la casa es la naturaleza

Maria Valverde tres metros sobre el cielo

Cruzada cruzada

Negros hedonismo

Tile Italon Charm Evo Kalakatta

Combi Su Gyzdyrychi

ILI9488 ESP32

• Pantalla de carga de días oscuros (pantalla de carga de días oscuros)

Scris Moldavia

Película de verano 1976

Skyrim blindado

Cómo conocer a una chica correctamente

Bajo el agua

La autopista de Los Ángeles Las Las Vegas

Chica junto a la ventana por la noche

Serie Paper House Denver y Mónica

Sakuta y mayo de anime besos

Fondo rosa para la presentación

Conjugación del verbo ser en español

Luo Binhe y Shen Qin quem

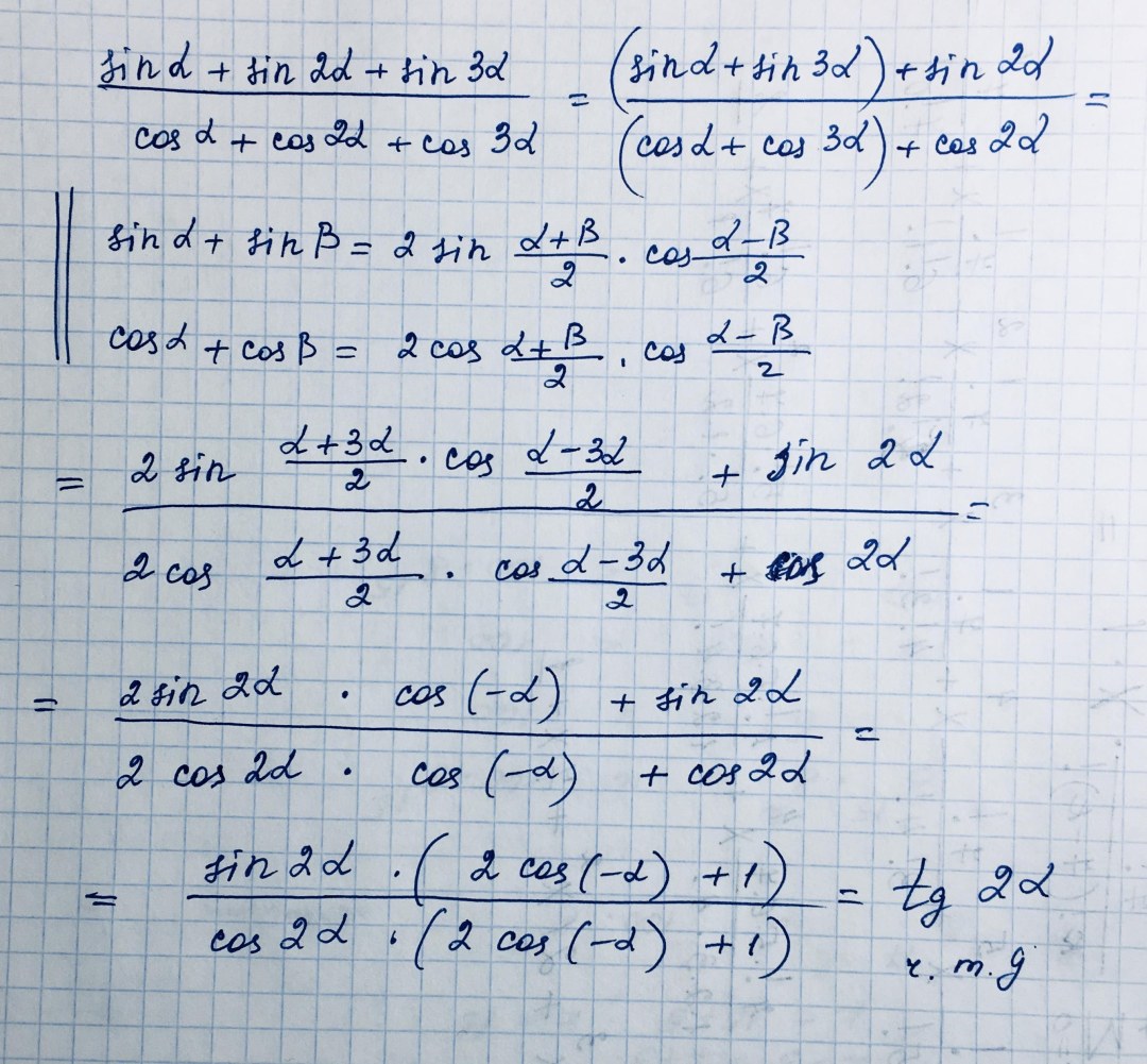
Tginam ason μtg administrar + cos 2 ap: sin 2a = er

Fotos de Oyy Ming Manga

Inadzuma genshin

El fondo es tierno rosa borrosa

Tritras Robert Vaid

Anime vida cotidiana del rey inmortal

Penélope crucial en la película Ham Ham

Café de café monocromático de bordado cruzado

Bai-bayushki-bu, buenas noches

Dedos en fruta

Chica con abuela Dibujo

Anime Genshin Impact Art Vent

Películas francesas para adultos

Opción 2 1/5 y 2/3. 3/7 y 2/9

Cuida tu felicidad

Intervenio 19

Día Internacional de Masturbación

Amantes (1991) Victoria Abril, Maribel Verdu

Fuertes abrazos de amantes

Ursula Korbero baila una casa de papel


Antecedentes para el escritorio Mamaun

Retrato de Lermontov de Zabolotsky

Película extraña 2011

Solución 1/2+2/3

Bailando en la lluvia

Rezolvati en n Ecuatia 5.6 (X -3) -3.2

Vector de bebé dormido

Winx Sticks Miifix

Lofi Biatats

No me gustan los tatuajes

Zapatillas de deporte de sexo

Ana Claudia Talancon con su esposo

Contour Dibujo Danza

Cu CE2

Laura Müller Actriz France SEKS

Miku es un verano interminable

Buenas noches gif